很多人都說大米飯放涼了再吃就不升血糖了,其實這是一種誤解。大米饭即使凉了以后,还是会升血糖,但升糖速度和幅度会比刚煮好、热乎时略低。
原因是这样的:
- 米饭主要成分是淀粉,热的时候淀粉是“糊化”状态,人体消化得很快,血糖上升也快。
- 冷却后,其中一部分淀粉会变成 抗性淀粉(Resistant Starch),这种结构不易被小肠分解吸收,更像膳食纤维,会减缓血糖反应。
- 不过,这个变化比例有限,大部分淀粉还是会被消化吸收,所以血糖依然会上升。
如果想让米饭对血糖更友好,您可以這樣:
- 煮好后冷藏 12 小时,再加热吃(抗性淀粉会保留不少)。
- 搭配高纤维蔬菜、蛋白质或健康脂肪,减缓血糖上升。
- 用糙米、杂粮部分替代白米。
那麼,米飯涼了之後吃,升糖速度和幅度会比刚煮好、热乎时略低多少呢?这个问题里有个细节——米饭冷却后升糖速度和幅度的降低不是固定数值,它会受到以下因素影响:
- 大米品种(籼米 vs 粳米,长粒 vs 短粒)
- 煮的软硬程度(水量、时间)
- 冷却时间和温度
- 是否再加热过(再加热会保留大部分抗性淀粉,但可能略减少)
不过,有研究和实验给出大致范围:
| 情况 | 升糖指数(GI) | 升糖幅度变化 |
| 刚煮好热米饭 | ~70–89(高 GI) | 基准值 |
| 煮好→冷却 12 小时(4℃冰箱)直接吃 | ~60–70(中等 GI) | 升糖速度可降低约 10–25%,峰值血糖降低 10–15% |
| 冷却 12 小时→再加热至 60℃左右 | ~62–72 | 降低幅度和冷吃接近,略有回升 |
原因是冷却后会有 5–10% 的淀粉转化为抗性淀粉(尤其是直链淀粉部分),它不会被小肠快速分解,而是进入大肠发酵,这让血糖上升速度放慢、峰值降低。
简单说——
- 热米饭:升糖快且高
- 冷米饭:升糖依然明显,但慢一些、峰值低一些
- 差距:大约降低一成到两成,不是“吃冷饭就不升糖”
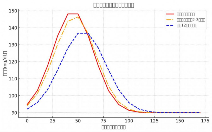
那麼下面,我就用一張圖來讓您清晰地看出三種溫度的米飯升糖的速度。

這張圖中三條線分別代表:
- 紅線:剛煮好的熱米飯(升糖最快、最高)
- 橙線:室溫放涼 2–3 小時的米飯(比熱飯略慢、低約 5%)
- 藍線:冷藏 12 小時的冷米飯(升糖速度明顯減慢、峰值低約 10–20%)
怎麼樣,您會為了降糖,把大米飯冷藏12個小時再吃嗎?這個週末要不要試試?祝您好胃口。

